第2章 光が物質中を伝わるとき


updated 2011.07.15

第2回講義で学ぶこと

光が物質中を伝わるとき何がおきるか:屈折率とは何か?消光係数とは?吸収係数・透過率との関係は ここでは、屈折率n、消光係数κがどのように定義された量であるかを電磁波の伝わり方をあらわす式を用いて説明します。マクスウェルの方程式の固有解を求めることによって、光学定数と光学誘電率の関係を導きます。(電磁気学の練習問題です) 
なお、ここでは、波を表現する数式に三角関数ではなくexponentialを用い、複素数を扱います。
この扱いに不慣れな生命系・物質系の学生のために数学的な基礎は、別ページで解説します。
機能材料のための量子工学第4章4.1参照

2.1 連続媒質中の光の伝搬

連続媒質中をx方向に進む光の電界ベクトルE

  EE0e-iωt+ikx =E0 exp{-iωt+ikx}       (1)

で表されます。上式においてkは波数とよばれ、空間的な周波数をあらわします。波長をλとすると、波数は波長λの逆数に2πをかけたものとして定義されます。従ってk=2π/λ です。
前に述べたようにk=ω/vですが、媒体中ではvが光速の屈折率n分の1になっています。すなわち、v=c/nですから、

   k=nω/c (2)

と表されます。光速cは周波数 ω/2πと波長λの積なので、 k=2πn/λ=2π/(λ/n)と書くことができ、媒質中の光の波長が屈折率分の1になっていることと対応しています。

吸収のある場合:複素数の屈折率の導入

現実の媒質では吸収が存在します。吸収を表す光学定数が消光係数κです。吸収がある場合は、波数を表す式(2)は屈折率nだけでは表すことができません。
屈折率の代わりに、屈折率nを実数部、消光係数κを虚数部とする複素数の屈折率N=n+iκに置き換える必要があります。すなわち

    k=Nω/c (3)

なぜこうするかというと、このように複素屈折率を導入すると波動を指数関数で表したときに都合がよいからです。(3)を(1)に代入すると、次式のようになります。

   EE0e-iωt+iNωx/c
      =E0e-iωt+i(n+iκ)ωx/c
      =E0e-iκωx/ce-iω(t-nx/c) (4)

消光係数κの意味

式(4)の、最初の因子e-κωx/c振幅が距離とともに減衰していく様子を表し、二番目の因子e-iω(t-nx/c)波の伝搬していく様子を表します。
光の強度Iは電界の振幅の絶対値の二乗に比例する量ですから、

   I ∝ |E|2=E02e-2ωκx/c (5)

 で表されます。この式は、光が物質中を 進むときに吸収を受けて弱くなっていく様子を表します。
このように、κは光の減衰を表すので 消光係数(extinction coefficient)とよばれます。

消光係数と吸収係数

媒体による光の吸収の強さを表すのが吸収係数α[cm-1]です。吸収係数は入射光の強度が1/eになるまでに光が進む距離の逆数です。
すなわち、媒体中を、0からx[cm]まで光が進んだとき、x=0においてI (0)であった光強度がxにおいてはI (x)になっていたとすると、

    I (x)=I (0)ex       (6)

として、吸収係数αが定義されます。吸収係数と消光係数の関係は、式(5)と式(6)を比較して

    α=2ωκ/c=4πκ/λ   (7)

 が得られます。ここにλは波長を表します。

吸収係数の例題

複素屈折率N=2.5+0.5i,厚さ1μmの媒体を波長λ=500nmの光が透過するとき
N=2.5+0.5iということはn=2.5, κ=0.5。
ω=2π/(5?10-7)=4π×106[rad/s]
nωx/c=2πnx/λ=5×3.14×10-6/5×10-7=31.4
κωx/c=2πκx/λ=3.14×10-6/5×10-7=6.28

   E (x)=E0e-ωκx/ce-iω(t-nx/cE0e-6.28e-iωt-i31.4

吸収係数α=4πκ/λ =1.26×107[m-1]=1.26×105[cm-1]

  I (x)=I (0)×e-12.56= 3.50963×10-6

となり、強く減衰します。
媒体中の波長=λ/n=200 [nm]
nωx/c=2πnx/λ=5×3.14×10-6/5×10-7=31.4

佐藤勝昭:太陽電池のキホン第4章(039)p.23による

2.2 マクスウェルの方程式

電磁波の伝搬はマクスウェルの方程式で表すことができます。

    rotH=∂D/∂t+J
    rotE=-∂B/∂t

(8)
  ここに、EHは、それぞれ、電界[V/m]、磁界[A/m]を表すベクトル量です。
また、DBJは、それぞれ、電束密度[C/m2]、磁束密度[T(テスラ)]、電流密度[A/m2]を表します。

2.2.1 等方性媒体中の光の伝搬

媒質が等方的であり,外部磁界や外部電界などを加えなければ、DEの関係、BHの関係、および、JEの関係は、スカラーの比誘電率 εr、比透磁率μr、および、導電率σを用いて、

    Drε0E
    Brμ0H
    JE

(9)
と書き表されます。ε0、μ0は真空の誘電率および透磁率です。ここに、ε0μ0=1/c2であることに注意しましょう。

2.2.2 比誘電率と比透磁率

 光の周波数(〜1014Hz)に対しては、比誘電率εrは複素数で表され、一般に

    εrr’+iεr”      (10)

と書き表すことができます。
 一方、比透磁率μrは光の周波数においては1とみなせます。
 また、伝導電流を変位電流にくりこむことによって、(10)式の第1式のJは省略でき、第2式と対称性のよい関係となります。
ここで、EHに(4)式のような時間、距離依存性を仮定すると、マクスウェルの方程式は次の問題1にあるように

   (N2−εr)E=0        (11)

となります。この方程式がE≠0なる解を得るためには

   N2r        (12)

でなければなりません。

問題1 固有方程式(11)を導いてください。

略解
  式(8) を用いて式(7)の2つの式からH, Bを消去すると

 rot rotE=-εrε0μ02E/∂t2=-(εr/c2)∂2E/∂t2    (a)

ベクトル解析の公式から

 rot rotE=grad(divE)-∇2E=-∇2E

ここにdivE=0の関係を用いました。
この式にE=E0e-iω(t-Nx/c)を代入すると rot rotE=(ωN/c)2E、従って式(a)は

   (ω2N2/c2)E=(ω2 εr/c2)E      (b)

となって(11)式が得られました。

2.2.3 複素屈折率と複素誘電率

式(12)に、N=n+iκ、εrr’+iεr”を代入して実数部どうし、虚数部どうしを比較すると

 εr’=n22
 εr”=2nκ

(13)

比誘電率から屈折率を求める

この式(13)を使うと、比誘電率がわかれば屈折率のおよその見積もりをすることができます。
たとえば、Si単結晶の比誘電率εrは11.9です。上式を使うとSiの透明領域の屈折率がn=3.44と求められます。

透明媒体を扱っているときは、吸収が0すなわちκ=0とみなせるので、第1式から

 εr=n2       (14)

という関係が導かれます。

複素誘電率から光学定数を求める

式(13)から、n、κをεの関数として求めると、

   n2=(|εr|+εr')/2
   κ2=(|εr|-εr')/2

(15)
が得られます。 ここに、|εr|=(εr"2r"2)1/2です。

2.2.4 異方性媒質中の光の伝搬  −複屈折と光学遅延−

等方性vs異方性

等方性:誘電率が方位に依存しない。例:GaAs
異方性:誘電率が方位に依存する。例:GaN
一軸異方性:特定の方位とそれに垂直な方位とで値が異なる

2.2.5 異方性媒質の誘電率テンソル

特定の方向(いま、x軸としておく)の誘電率の成分が、それに垂直な方向の誘電率の成分と異なる場合、異方性があるという。異方性のある場合、電界ベクトルEの向きと電束密度ベクトルDの向きは一般に平行ではない。従ってD0εrEの式において、比誘電率εrはスカラーではなくテンソルを使って、次式で表さなければなりません。

        (16)

ここで、問題を簡単にするために、x方向が、y、z方向と異なるような一軸異方性を持つとしましょう。(x軸を光軸といいます。)このときεxx≠εyyzzとなるので、εテンソルはεxxとεzzの2成分で記述できます。

         (16')

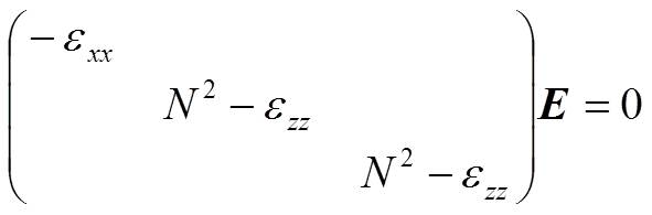
異方性媒質中の光の伝搬 (1)光軸(x方向)に進む波

x方向に進む波とz方向に進む波の2つの場合についてのみ考察しましょう。 式(4)で表されるx方向に進む波についてマクスウェルの方程式を適用すると、永年方程式は

            (17)

となるので、Nの固有値は

      N2zz            (18)

のみとなり、あたかも屈折率εzz1/2の等方性媒質中を伝搬する波のように伝搬するのです。

異方性媒質中の光の伝搬 (2)光軸に垂直(z方向)に進む波

異方性軸に垂直の方向(z軸方向)に進む波

       E=E0e-iω(t-Nz/c) (19) についての永年方程式は

         (20)

となる(問題2参照)ので、Nの固有値は

     N2xx または、N2zz    (21)

となって、2つの値を持ちます。 それぞれに対応する固有関数は、x方向に偏り屈折率εxx1/2をもつ波と、x軸に垂直なy方向に偏り、屈折率εzz1/2をもつ波です。

屈折(birefringence)と屈折率楕円体(indicatrix)

屈折率楕円体 z方向に進む波は、電界のx成分とy成分とで異なる屈折率を見ることとなります。これを複屈折といいます。
方解石を用いて文字を見ると二重に見えますが、これは、異常光線がスネルの法則に従わないからです。
一軸異方性をもつ物質の任意の入射方向に対する屈折率は、図のような屈折率楕円体で表すことができ、常光線については、n=εzz1/2の球で、異常光線については、回転軸方向の屈折率がn=εzz1/2でそれに垂直な方向の屈折率がn=εxx1/2であるような回転楕円体によって表されます。

異方性媒体と光学遅延

ここでは簡単のために誘電率が実数であると仮定します。
電界ベクトルが xy面内でx軸から45゚傾いているような偏光がこの媒体のz方向に入射したとします。
媒体中をz方向に長さzだけ進んだ位置での電界をみると、x成分の位相変化はωεxx1/2z/cであるのに対し、 y成分の位相変化はωεzz1/2z/cであるから差し引きすると

    δ=ω(εxx1/2zz1/2)z/c   (22)

の位相差を受けることになります。この位相差?のことを光学的遅延(リターデーション)と呼んでいます。

リターデーションと円偏光

リターデーションδが±π/2(4分の1波長)となると、電界ベクトルの軌跡は円になります。これを円偏光と呼びます。
δが±π(半波長)となると、電界ベクトルの軌跡は入射光と90゚傾いた直線偏光となります。
水晶やサファイアなど異方性を持つ結晶を適当な厚みに切り出すと、4分の1波長板や半波長板を作ることができます。
一般にこのような光学素子を移相板と呼んでいます。直線偏光子と4分の1波長板を組み合わせると円偏光を作ることができます。

第2章のおわりに

光の伝搬は光学定数を使って表すことができました。屈折率は、媒体中での光の速度を、消光係数は媒体中での光の減衰を表すことを学びました。
複素誘電率から光学定数を求めることができます。 この関係はマクスウェル方程式を解くことによって得られました。
異方性のある媒体の屈折率は、屈折率楕円体で表され、光の伝搬方向に依存することがわかりました。光の伝搬は光学定数を使って表すことができました。屈折率は、媒体中での光の速度を、消光係数は媒体中での光の減衰を表すことを学びました。


第1章へ

光物性目次ページへ